mercredi 9 janvier 2019

Statistic of Ivy League millionnaire


Statistic can be deceiving. It’s even easier to deceive or genuinely fail to understand their implication. I’ve just heard such of leap of reason.

Chris Hogan have just release his new book, Everyday Millionaires(2019). I did not read it yet. I’ve heard a startling statistic that 10% of the millionaire come up from Ivy League. 90% did not gone to Ivy League in order to get millionaire.

Photo by Vasily Koloda on Unsplash


It seems on the surface that it tells us that you don’t have to go to Ivy League to be millionaire. This is true. The reverse is not so evident. According to a simple google search, we see that the % of American who have gone to Ivy League is roughly 0.2% (Quora). The statistic is probably off. The percentage of millionaire in America is roughly about 11% (DQYDJ).

If we merge the three statistics, than we can tell that going to Ivy League has a huge correlation to becoming millionaire. They are massively over-represented! The argument goes along the line:
  • If I go to any university : I got 11% chance to become millionaire.
  • % of American who have gone to Ivy league and are millionaire (10% * 11% = 1.1%).
  • If I go to an ivy league university : I got more than 500% chance to become millionaire (0.2% * 500% < 1.1%).


Probably some of these statistics are incorrect. 500% chance of becoming millionnaire is illogical. At least they are incoherent. Regardless, it gives a rough idea that most Ivy league graduates are going to be millionaire. They are mostly all going to be. 

samedi 5 janvier 2019

Saving Rates - Including Interest


There are many ways to calculate saving rate. Saving Rate = $SAVED/$IN. Various debates exist around each terms. Items up for decision:
  • Should we use Pre-tax or post-tax as the $IN?
  • Should we look at the family as a whole or per person?
  • Should we use House payment/debt (the portion other than the interest on loan) as $SAVED?
  • Should we use Interest received as $SAVED & $IN?
  • Should we recognize DB accrued as $SAVED & $IN?
  • Should we include Social Security (CPP/QPP contribution)?
  • Should we set a Saving Rate or set a retirement goal.

Let’s go deeper in the rabbit hole of Interest on Saving. Including Interest will have the immediate effect of increasing your saving rate.  At the basic level, including/excluding anything do not change your retirement date or how much actual earning you save. However, if by including or excluding some items some features may be highlighted or new strategy can be discovered.

Interest is define for this article as the total return of your retirement fund regardless of its origin (growth of stock, dividends or coupon). Compounding interest informs us that interest will exponentially grow as time passed. Near retirement, interest will largely outgrow our saving. Why save at all, if you save 2,000$ while the fund grows 200,000$ due to interest?

After including the interest both in the $SAVED & $IN, I’ve created ways to reduce the amount saved from earnings while the Interest grew. Given a fixed saving rate, this has the effect of delaying retirement by a few years. Thus the below strategy are more in-line for those who would like to be Financially Independant(FI), but not Retire Early. Get a higher raise than your boss wants to!



"Get a higher raise than your boss wants to!"

Tweaks & issues

The overall objective of the methods proposed below are to decrease saved earnings while reaching retirement. Thus this has the positive impact of giving you a bigger raise than your employer gives you. 

This strategy makes more sense if you increase your your replacement ratio. A 60%-70%, or (1-Saving Rate)% would not work as you expect to spend your entire earnings at retirement. Thus to keep your standard of living you would need a 100% replacement ratio.

Lowering your saved earnings would delay retirement all thing equal. As often the case things do not need to be equal. You could modify your Saving Rate after applying the below strategy to give more or less the same initial saved earnings or retirement date. In the simple strategy below, I did not adjust and thus get a higher retirement date. In the second strategy below, I did adjust. 

From an administrative issue/market volatility issue, you may want instead to use your expected withdrawal rate (3%, 4% or 5%) instead of experienced interest. This way, a bad return year or a great year will not mess up your saving strategy. Personally, I like to go with 5% withdrawal as it provide no risk of ruin and decent inflation increase using the Accumulation-Dynamic Decumulation method.

Simplest way

The first formula that come to mind is to remove the interest from what you need to save as earning.  If you have a lower than 50% saving rate, this strategy fails as you would not need any saving quickly. At 15% saving rate, this force you to stop saving at half your career.

Instead, a small tweak to this strategy is to recognize a percentage of the interest. 
Ex: if you made 20,000$ of interest this year, only recognize 10,000$ of it. The weight to use is hard to determine. At 15% Saving Rate, using a 30% weight of Interest seems appropriate as it delays retirement by 4 years and small save earnings near retirement. At 30%, you get a 4 years delays at 50% weight of interest. At 50%, you get a 4 years delays at 90% weight of interest.

Below is a table summary  of the extra available spending with/without the strategy1 at 25% the way to retirement, 50% and 75%. It use the 4 years delays with vs without the strategy and weight discuss above and using a family salary of 100,000$.




Next, here a graphic showing how the saved earnings compared in the 15% Saving Rate simple strategy for a family with 100,000$ salary :





See google drive file, sheet Inc. Int with Weight.

More complex way

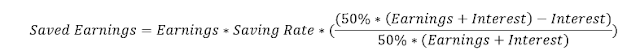
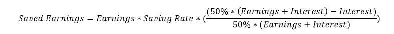
The first strategy have issues. Most of the decline in saved earnings is near the end.  It leave a difficult parameter to set up (weight of interest). Also it still have relatively large saving near retirement or no saving for a number of years prior retirement depending on the weight. To fix this, let’s look at the following formula:

Think of it this way, in the scenario where Saving Rate = 50% = (Save Earnings + Interest)/ (Earnings + Interest). When you start saving, you would need to have Save Earnings = 50% of Earnings. When you are at retirement, than you would need Interest = 50% of Earnings. Using this nice equilibrium, we can adjust any other saving rate by applying a similar accrual pattern.

This strategy ends up at retirement with almost no contribution and enjoy Spending increase 5% more than your boss give you (which decrease as you age to a spending increase of +1%).

To get similar retirement age however, we need to be more aggressive in saving in our early years than the previous strategy. Below is a summary result of comparable saving rate incl./excl. Interest and the Extra Spending along the way where Retirement age is the same for both Scenarios. 



See google drive file, sheet Inc. Int Max SR inc.


Conclusion:

Where ever you are in this journey you could think of implementing the above strategy or part of it. Otherwise, you could also adjust the strategy to say that you are going to have 10 years of higher saving and then drop back to follow these strategies. Many different path exist for the DIY.

While there is a great focus in increasing saving, we need to be conscious of why we are saving. Saving for saving sake makes no sense. Dying with millions in our bank with no plan is not a wise approach to life.

If we were immortal, than this sort of approach makes even more sense. It would be foolish to have to save for the rest of eternity for saving sake.

Note:
1: Both scenario using a goal of 100% replacement ratio and the same Saving Rate. If you have a lower goal, you could adjust the formula. If you wanted the same retirement date, increase your saving rate after applying the strategy to get it. Based on Fund = 0$ starting saving at age 20. For example say retirement age =65, 25% of the way is (65-20)*25%=11 years after saving start (age 31). 


Qu'est ce que le risque financier%

  Un des termes centraux en finance est le risque. C’est un terme qui cache beaucoup de sous-entendu. Il est souvent mal compris. Hors des ...